座機:027-87580888
手機:18971233215
傳真:027-87580883
郵箱:didareneng@163.com
地址: 武漢市洪山區魯磨路388號中國地質大學校內(武漢)
公司新聞我校嫦娥四號探測器就位溫度測量揭示月球背面月壤熱物理性質
文章來源:地大熱能 發布作者:中國地質大學(武漢) 發表時間:2022-09-06 09:08:36瀏覽次數:2895
中國地質大學(武漢)地大熱能:基于“嫦娥四號”探測器對月球背面表層月壤溫度的就位測量結果,我校行星科學研究所、澳門科技大學月球與行星科學國家重點實驗室,以及中國空間技術研究院的研究人員合作,利用新研發的數值模型,詳細分析了著陸點表面月壤的溫度和熱物理性質,得到了該地月壤顆粒的平均粒徑(約15微米),以及月表和月壤內1m深處的月壤熱導率。
近日,相關成果發表于《國家科學評論》,共同第一作者為我校地球科學學院博士生肖瀟和澳門科技大學俞碩然博士,通訊作者為我校地球科學學院教師黃俊。這是人類首次利用就位探測數據揭示月球背面月壤的熱物理性質,為全月月表熱物理性質的遙感分析提供了新的“地面真值”。

2019年1月3日,中國嫦娥四號探測器成功著陸月表并開展巡視探測。這是人類第一個在月球背面進行就位探測的航天器。嫦娥四號著陸器首次在月球背面對月壤溫度進行了就位測量。在嫦娥四號著陸器上的兩根月球車導軌的末端底部,安裝了四個與月壤直接接觸的溫度計,每900秒測量一次月壤的溫度,測量精度為0.3K。

嫦娥四號著陸點著陸后第三個月的月壤溫度。(a)彩色圓點分別表示四個溫度計測量的溫度。(b)正午附近時溫度的變化特征。
基于嫦娥四號探測器對月球背面表層月壤溫度的就位測量結果,該研究團隊發現,白天月壤的溫度主要受太陽輻射和周圍環境熱輻射的影響。日出后月壤溫度快速上升,正午附近時溫度達到最大值。正午之后溫度開始下降,在傍晚附近溫度急劇下降。夜間月表溫度的變化主要受月壤的熱物理性質影響,溫度緩慢下降。在月球當地時間正午附近時,四個溫度計的測量溫度突然降低,而后急劇上升。這些溫度變化與著陸器的陰影運動相關。

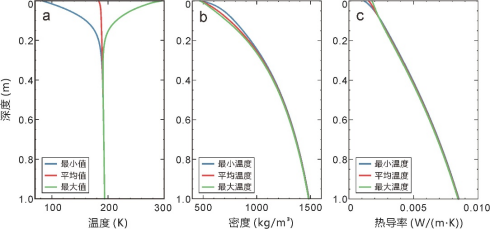
嫦娥四號著陸點月壤粒徑為15μm的溫度、密度和熱導率剖面圖。(a)從月表到1米深度的最小、平均和最大溫度的剖面圖。(b和c)從月表到1米深度的密度剖面圖和熱導率中的熱傳導分量剖面圖,對應圖3a的最小、平均和最大溫度。
該研究使用的數值模擬方法主要是根據夜間月壤的表面溫度變化計算熱導率。與實驗室實驗相比,保持了月壤的原始堆積方式。研究結果顯示嫦娥四號著陸點的月壤顆粒最優平均粒徑為15微米。月壤的溫度變化在0.4米以下可以忽略不計(圖3a)。月壤熱導率中的熱傳導分量在表面約為1.53×10-3W/(m·K),在1 m深處約為8.48×10-3W/(m·K)(圖3c)。這些物理性質都表明了月壤具有非常好的隔熱性。未來在月球極區建立月球基地,月壤可以作為基地表面的隔熱材料。
據悉,該研究得到國家重點研發項目、民用航天預先研究項目、國家自然科學基金和澳門科學技術發展基金的支持。
上一篇 > 我校國際學生野外地質實習:錘煉專業本領 認識中國河山
下一篇 > 我??茖W技術協會獲評湖北省科協系統先進集體








