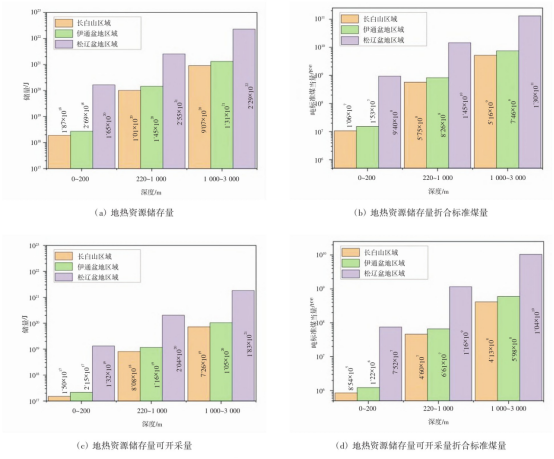
吉林省